انتخاب نوع مولد میناب (میکرو – نانو حباب)
برای راحتی کار انتخاب مولد میناب (میکرو – نانو حباب)، می توان آنها را از چند دیدگاه تقسیم بندی نمود.
نوع آب: تمیز یا کثیف
آب تمیز در اینجا منظور هر نوع آب یا مایع غیر خورنده غیر قابل اشتعالی است که ذرات موجود در آن در محدوه مناسب دستگاه قرار .می گیرد. این گروه شامل همه آبهای خوراکی و مقطر، آب شیرین حوضچه های ماهی، پساب های نفتی و پتروشیمی، پساب پرورش ماهی پس از درام فیلتر، همه انواع آب کشاورزی شامل آبیاری مزارع به روشهای سنتی و تحت فشار، گلخانه و هیدروپونیک، و مشابه آن است. مولد پیشنهادی برای این مقاصد نسل پنجم مولدهای تولیدی شرکت نوفآوران میناب طوس است.
آب کثیف منظور آب حاوی ذرات جامد، مو و الیاف، تکه های میوه، برگ، و امثال آن است. معمولا فاضلاب های خانگی و شهری و همچنین پساب صنایع چرم و نساجی در این رده قرار می گیرند. مولد نسل هفتم برای این نوع بکار گرفته می شود.
نوع مولد: تر یا خشک
مولدهای خشک مولدهایی هستند که در خارج آب قرار دارند. کلیه قطعات در دسترس پرسنل قرار دارد و عملیات بازبینی و تعمیر و نگهداری احتمالی راحتتر انجام می شود. آب ورودی از طریق لوله به مولد وارد و پس از غنی سازی با میناب توسط لوله دیگری به مخزن مصرف کننده هدایت می شود. با توجه به اینکه آب غنی شده با میناب در خروجی هم نهایتا توسط لوله پخش می شود، لذا هیچ نوع دستگاه یا وسیله دیگری برای توزیع میناب در مخزن لازم نیست. البته همانطور که در خواص میناب هم ذکر شد، خود میناب خاصیت پخشیدگی شدیدی دارد که توسط انرژی جریان آب خروجی از مولد تشدید هم می شود. البته فضای اضافی لازم برای این مولدها را نیز باید در نظر گرفت.
مولدهای تر آن دسته از مولدها هستند که کلیه قسمتهای آن در داخل مخزن به طور مستغرق قرار می گیرد. برای این مولدها در مخزن باید محل مناسب صلب و اعلام شده برای همان ظرفیت مولد در نظر گرفت. خصوصیتی که این مولدها را برای تصفیه فاضلاب مناسب و از جذابیت آن برای پرورش ماهی می کاهد، تبدیل تقریبا تمامی انرژی مصرفی به گرما در داخل مخزن است. این کار برای تصفیه فاضلاب به دلیل افزایش دمای مخزن بخصوص در فصول سرد بسیار مناسب است ولی در فصول گرم برای پرورش دهندگان ماهی سردابی جذابیتی ندارد. لذا به پرورش دهندگان ماهی توصیه می شود برای هوادهی از نوع خشک استفاده کنند اما برای واحد تصفیه آب برگشتی بهتر است با مطالعه بیشتری انتخاب صورت گیرد.
خورندگی
کلیه مولدهای میناب تولیدی شرکت نوفنآوران میناب طوس از جنس فولاد ضد زنگ (استنلس استیل) رده 304 و به بالا تهیه می شود. اگر آب دریا برای غنی سازی با میناب مد نظر باشد استیل 316 به کار می رود. همچنین امکان تجهیز به سامانه حفاظت کاتدیک هم از نوع فعال (Active) و هم از نوع غیر فعال (Passive) وجود دارد. در این مرحله باید توجه شود که شاید لازم باشد سایر قطعات از جمله پمپ ها هم باید از نوع استیل انتخاب شوند. در سامانه های تولید میناب ازون صرف استفاده از پمپ های استیل و مولدهای ساخته شده از استیل 304 کفایت می کند.
انتخاب مولد
اولین کار در انتخاب مولد مشخص شدن مقدار مورد نیاز گاز مورد نظر است. مثلا در تصفیه فاضلاب طراحی با دانستن مقدار اکسیژن مورد نیاز شروع می شود. این کار با تخمین پارامترهای اصلی BOD و COD ممکن است. در پرورش آبزیان اصلی ترین پارامتر میزان غذا روزانه برای مجموعه یا بخشی که باید با میناب هوادهی شود است.
هر چند امروزه دستگاههای مواد میناب ساخت این شرکت برای مقاصد بسیار متنوعی به کار می رود، اما چون در سه زمینه بیشترین کاربرد را دارد، در این بخش به موارد تصفیه فاضلاب، هوادهی آبزیان، و آبیاری گیاهان پرداخته می شود.از آنجا که در فرآیند طراحی تصفیه خانه فاضلاب مبتنی بر استفاده از میناب فرآیند برای حذف مواد آلی بسیار پیچیده است، برای طراحی بهتر است با کارشناسان شرکت نوفنآوران میناب طوس تماس بگیرید. این شرکت در زمینه آبزیان مشاوره ارائه نمی دهد اما اگر پارامترهای حیاتی از قبیل دانسیته آبزی (کیلوگرم آبزی بر واحد سطح و در واحد حجم) توسط کارفرما مشخص شود، می تواند در خصوص انتخاب نوع مولد به ایشان کمک کند.
اما بهتر است قبل از پرداختن به مباحث ریزتر نگاهی به بحث حلالیت گاز در مایع بپردازیم. حلالیت هر گازی در یک مایع مشخص تابع چهار پارامتر نوع گاز، نوع مایع، فشار و دمای مایع است. از آنجا که کسب اطلاعات دقیق در این خصوص از کتب بسیار زیاد و در دسترس عموم ممکن است، در این بخش فقط به بحث انحلال اکسیژن در آب می پردازیم.
بر اساس تئوری بیشترین سطح اکسیژن محلول (Dissolved Oxygen, DO) یا میزان اشباع آب از اکسیژن در ظروف روباز تحت دمای صفر درجه سانتیگراد و در ارتفاع هم سطح دریا به دست می آید. در ظروف روباز فشار، معادل فشار اتمسفر در همان محل است و با افزایش ارتفاع محل از فشار اتمسفر کاسته می شود و بالطبع میزان سطح اشباع اکسیژن هم کم می شود. وجود نمکهای محلول در آب از میزان سطح اشباع شدن آب از اکسیژن می کاهد. دمای آب نیز با افزایش از میزان صفر درجه سانتیگراد موجب کاهش میزان اشباعیت می شود. رابطه کلی به شکل زیر است:


در رابطه بالا DOsat غلظت اشباع اکسیژن به میلی گرم بر لیتر در دمای Ta در واحد کلوین است.
شکل ساده تر این معادله به قرار زیر است که البته با درصدی خطا همراه است:


در اینجا T دما به درجه سانتیگراد است. با همین تعاریف، میزان غلظت اشباع در شوری S به گرم بر لیتر معادل DOs است:


با وارد شدن اثر فشار محیطی P به اتمسفر رابطه به شکل زیر در می آید:


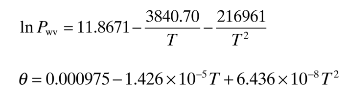
برای تبدیل فشار از کیلو پاسکال به اتمسفر آن را به 101.325 تقسیم می کنیم. در این رابطه Pwv و q از روابط زیر حساب می شوند:


برای تبدیل فشار از کیلو پاسکال به اتمسفر آن را به 101.325 تقسیم می کنیم. در این رابطه Pwv و q از روابط زیر حساب می شوند:
پس نخست اکسیژن اشباع را در دمای Ta=T+273 حساب می کنیم. سپس با داشتن غلظت شوری بر حسب گرم بر لیتر آن را برای شوری اصلاح می کنیم و دست آخر برای فشار هوا کمتر از یک اتمسفر آن را مجددا اصلاح می کنیم. مثلا برای آب با شوری 20 گرم بر لیتر در دمای 22 درجه در ارتفاع 1000 متری از سطح دریا داریم:
Ta=273+22=295
Ln(DOsat)=-139.34411+(1.575701e+5/295)-(6.642308e+7/295^2)+(1.2438e+10/295^3)-(8.621949e+11/295^4)
DOsat=8.7438 mg/L
رابطه ساده شده این مقدار را برابر با
DOsat=468/53.5=8.75 mg/L
می دهد. حال به تصحیح اثر شوری می پردازیم:
Ln(Dos)= 2.1712-20(0.01764-10.754/295+2140.7/295^2) = 7.8111 mg/L
برای تصحیح اثر ارتفاع نخست فشار اتمسفر را در ارتفاع 1000 متر از سطح دریا به دست می آوریم:
Pwv=0.025954501
q =0.00069243
DOp=6.6686 mg/L
دقت کنید که به اطلاعات کلیدی دیگر به این شرح است:
21 درصد هوا اکسیژن است که برای اطمینان آن را یک پنجم یا 20 درصد فرض می کنیم.
هر مول اکسیژن در شرایط استاندارد 32 گرم وزن دارد و 22.4 لیتر را اشغال می کند.
مجددا باید یادآوری کرد که با افزایش دما و ارتفاع، یک مول اکسیژن فضای بیشتری را اشغال می کند.

بدون دیدگاه